點擊率:1595
上周五11月25日,西澳再發邀請,這是西澳本財年的第四輪邀請。
.png)
獲邀數量:
General Schedule 1: 190獲邀510個,491獲邀458個
General Schedule 2: 190獲邀463個,491獲邀1037個
Graduate-higher education graduates: 190獲邀1069個,491獲邀327個
Graduate-vocational education and training graduates:
190獲邀376個,491獲邀260個
.png)
EOI分數情況:
General stream-WASMOL schedule 1: 65分
General stream-WASMOL schedule 2: 85分
Graduate-higher education graduates: 80分
Graduate-vocational education and training graduates:65分
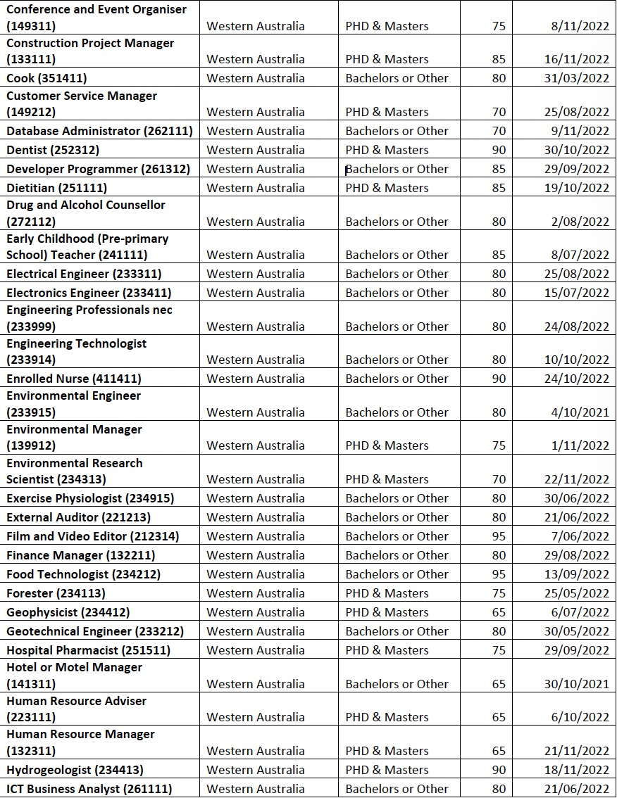
具體獲邀情況:
【General stream-WASMOL schedule 1】
.png)
.png)
-分數區間從65-95分
-65分的職業包括多為包括注冊護士在內等的醫護類職業
-多為海外申請人
【General stream-WASMOL schedule 2】
.png)
.png)
.png)
-分數區間從85-95分,多為85分
-獲邀者均為本地申請人
【Graduate-higher education graduates】
.png)
.png)
.png)
.png)
-分數區間從65分-105分。
-獲邀均為本地申請人。
-學歷水平包括Bachelors or Other和PHD&Masters,數量上沒有太大的差異。
【Graduate-vocational education and training graduates】


-獲邀分數區間從65-95分,多集中在65-75分。
-均為本地申請人獲邀。
累計邀請數量:
.png)
-本輪190共計邀請2418人,其中Graduate Stream更是邀請了1000人以上。491共計邀請2082人。
-本輪邀請總數為4500人。本財年截止至今共發放了四輪邀請,共計邀請11079人。
-從總體來看,西澳連續兩輪邀請超過4500人,足以證明西澳邀請的誠意!





